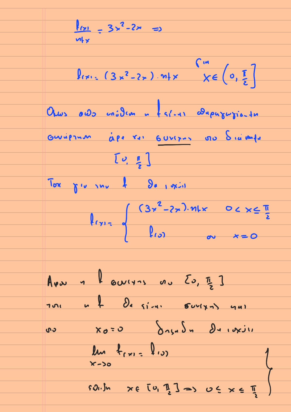
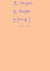
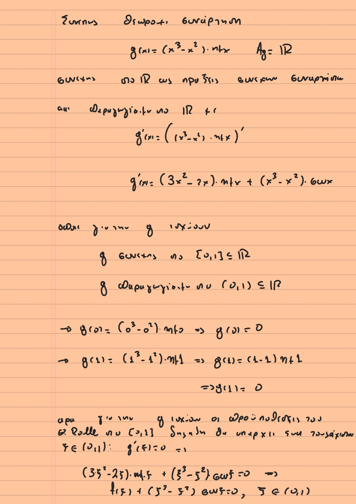
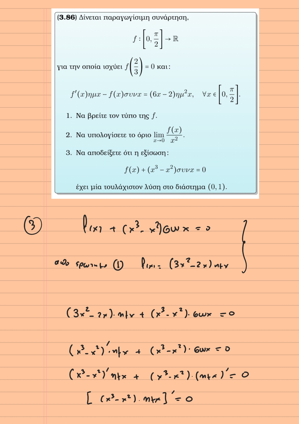
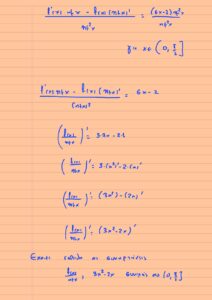
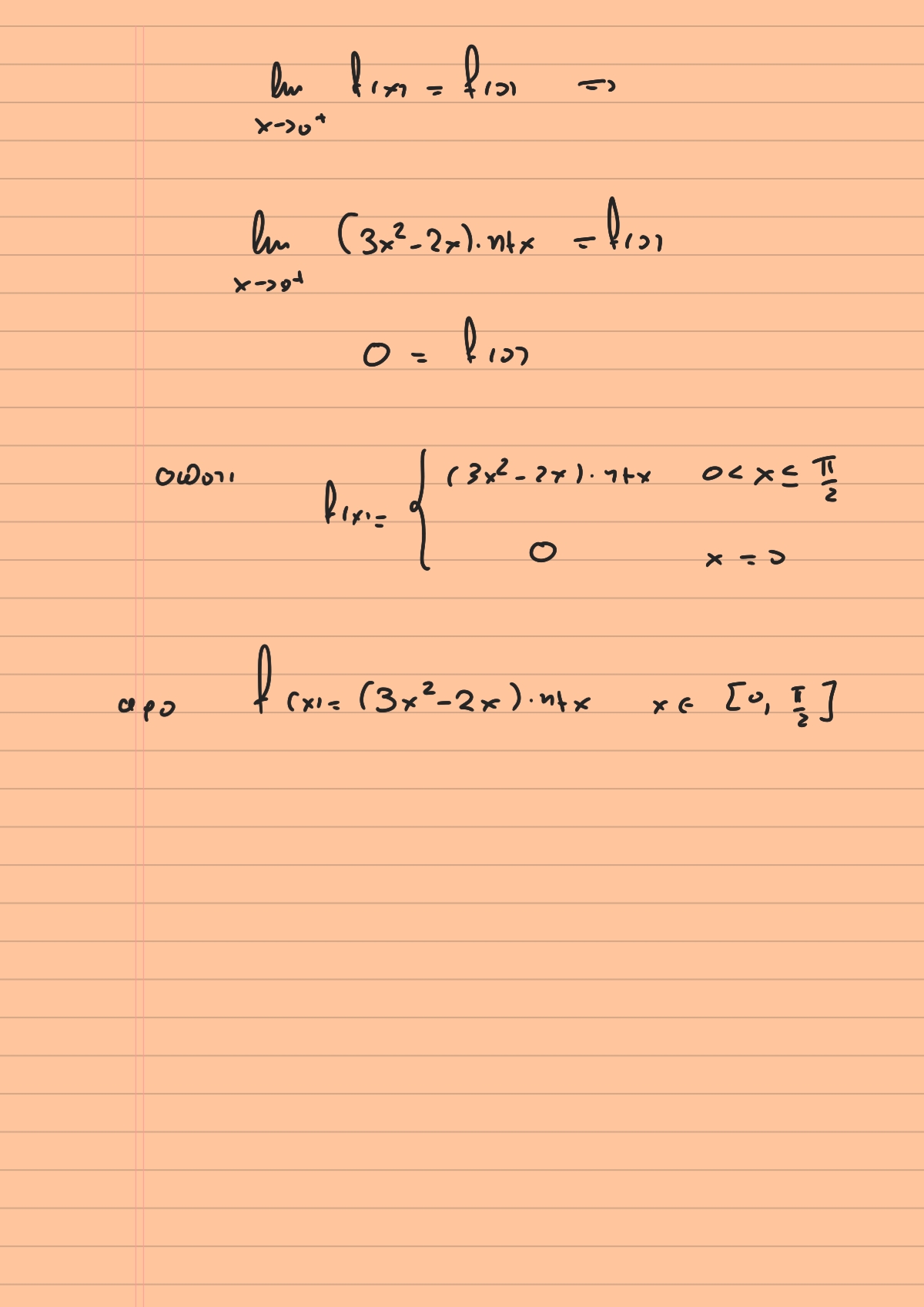
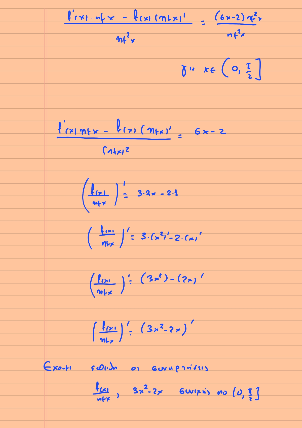
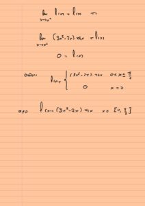
ΣΥΝΕΠΕΙΣ ΘΜΤ ΘΕΩΡΗΜΑ ΜΕΣΗΣ ΤΙΜΗΣ ΘΕΜΑ 8

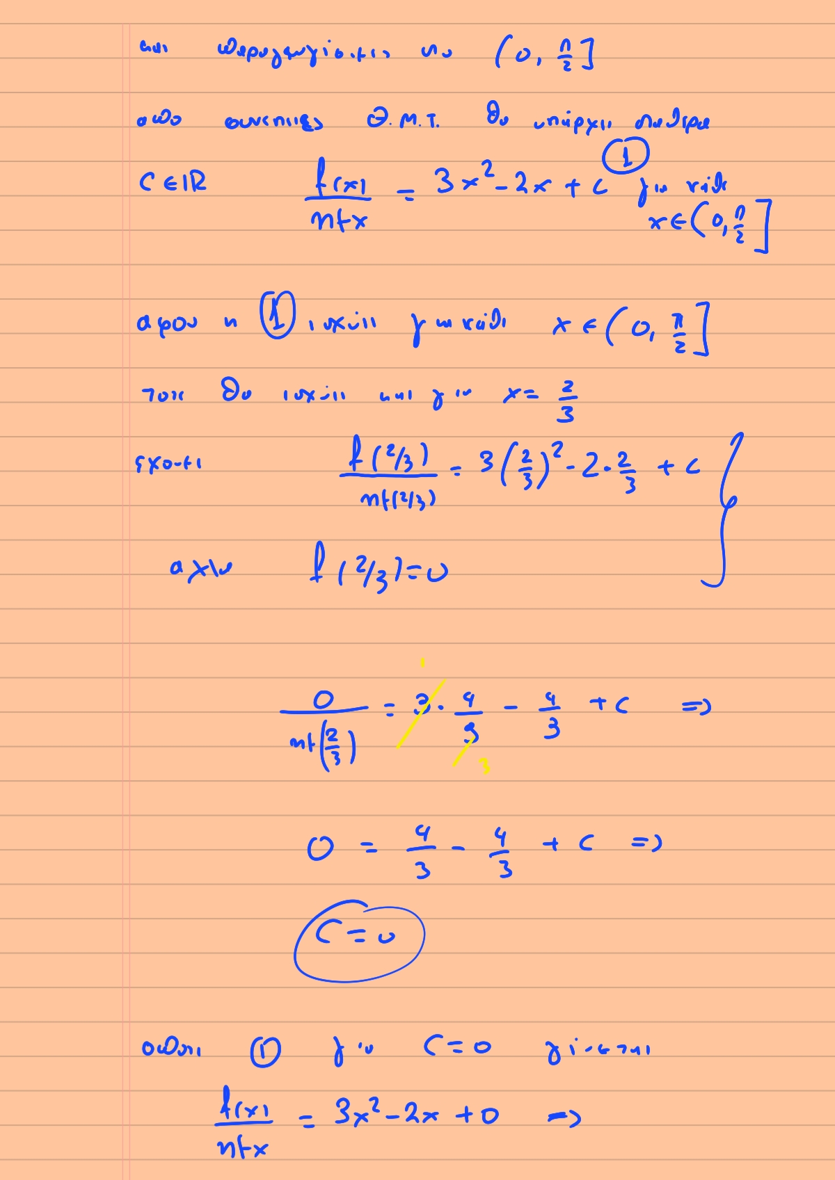
ΛΥΣΗ
Βιβλιογραφία: Παπαδάκης, εκδόσεις Σαββάλα

Αυτή η εργασία χορηγείται με άδεια Creative Commons Αναφορά Δημιουργού – Μη Εμπορική Χρήση – Παρόμοια Διανομή 4.0 Διεθνές .
ΣΥΝΕΠΕΙΣ ΘΜΤ ΘΕΩΡΗΜΑ ΜΕΣΗΣ ΤΙΜΗΣ ΘΕΜΑ 8

ΛΥΣΗ
Βιβλιογραφία: Παπαδάκης, εκδόσεις Σαββάλα

Αυτή η εργασία χορηγείται με άδεια Creative Commons Αναφορά Δημιουργού – Μη Εμπορική Χρήση – Παρόμοια Διανομή 4.0 Διεθνές .