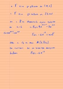
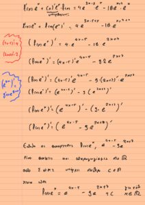
ΕΠΑΝΑΛΗΠΤΙΚΑ ΘΕΜΑΤΑ ΤΟΠΙΚΑ ΑΚΡΟΤΑΤΑ ΣΥΝΑΡΤΗΣΗΣ ΘΕΜΑ 6

Βιβλιογραφία: Παπαδάκης, εκδόσεις Σαββάλα

Αυτή η εργασία χορηγείται με άδεια Creative Commons Αναφορά Δημιουργού – Μη Εμπορική Χρήση – Παρόμοια Διανομή 4.0 Διεθνές .
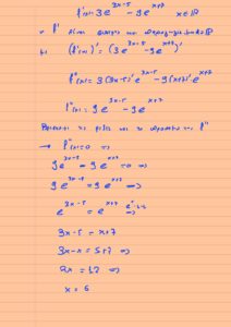
ΕΠΑΝΑΛΗΠΤΙΚΑ ΘΕΜΑΤΑ ΤΟΠΙΚΑ ΑΚΡΟΤΑΤΑ ΣΥΝΑΡΤΗΣΗΣ ΘΕΜΑ 6

Βιβλιογραφία: Παπαδάκης, εκδόσεις Σαββάλα

Αυτή η εργασία χορηγείται με άδεια Creative Commons Αναφορά Δημιουργού – Μη Εμπορική Χρήση – Παρόμοια Διανομή 4.0 Διεθνές .