ΜΟΝΟΤΟΝΙΑ ΑΚΡΟΤΑΤΑ ΕΠΑΝΑΛΗΨΗ ΘΕΜΑ 22

ΜΟΝΟΤΟΝΙΑ ΑΚΡΟΤΑΤΑ ΕΠΑΝΑΛΗΨΗ ΘΕΜΑ 22

Rendered by QuickLaTeX.com

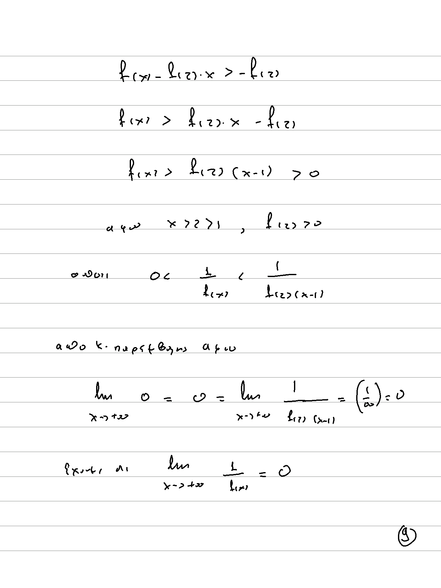
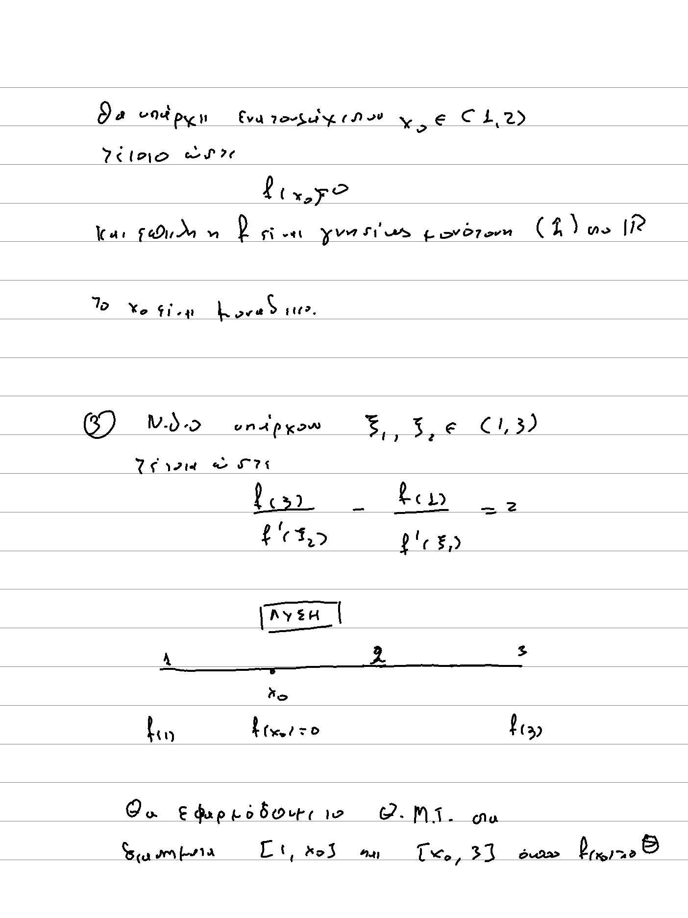
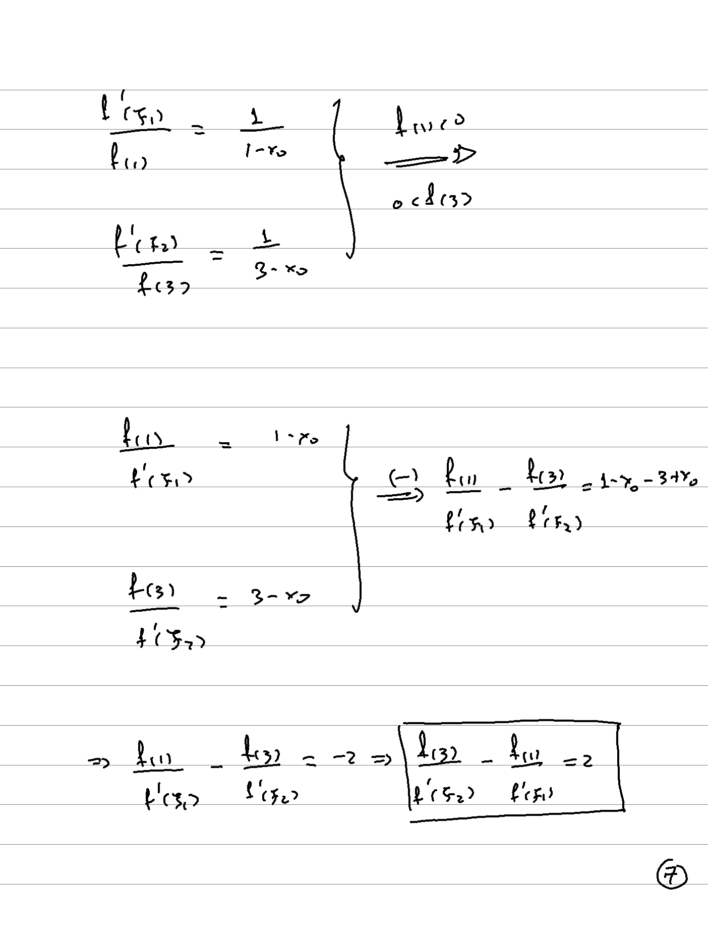
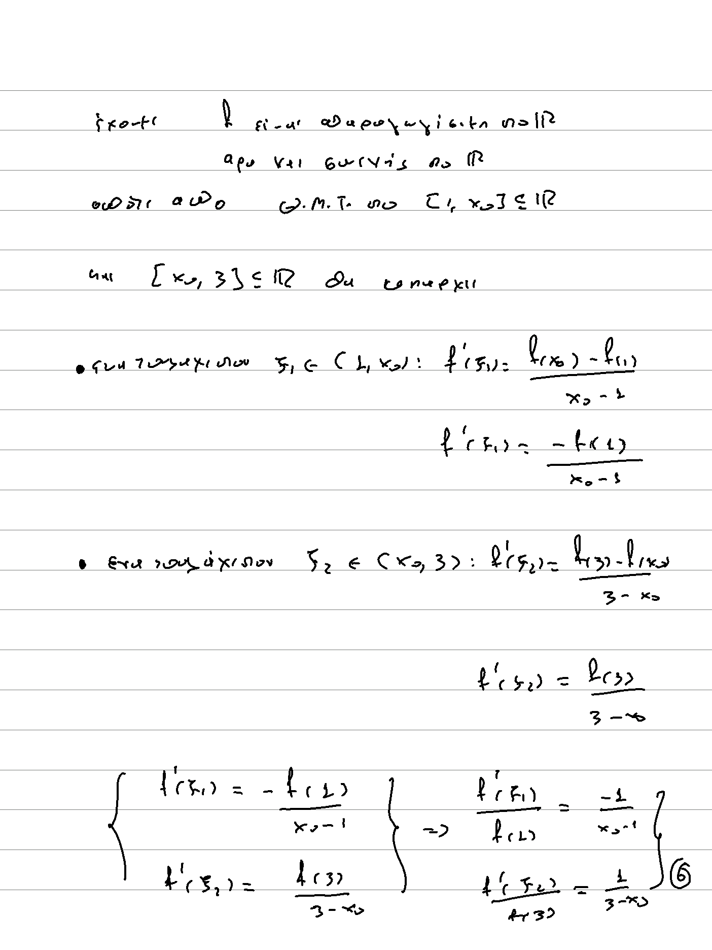
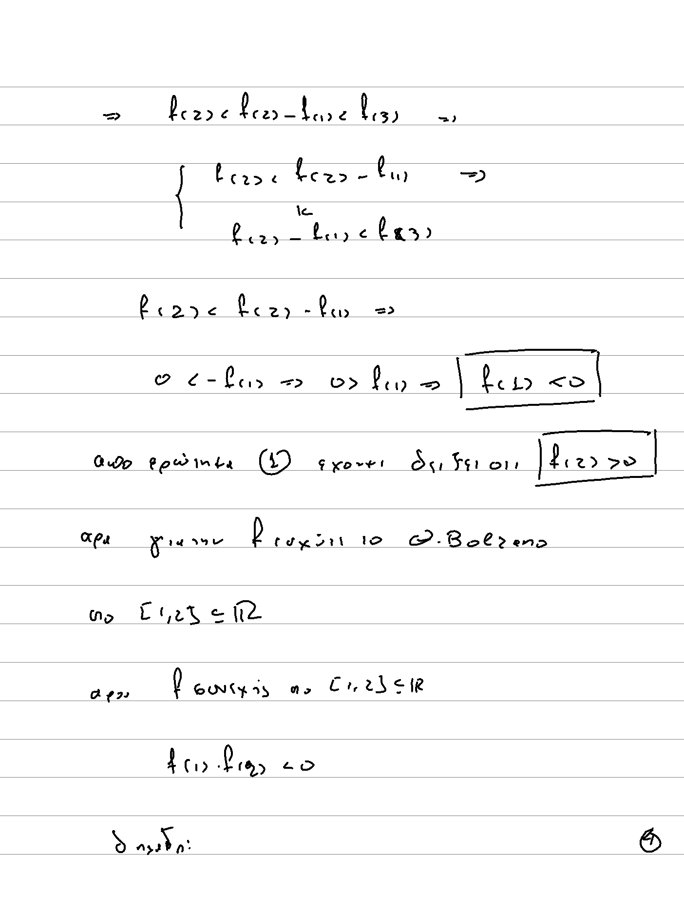
ΛΥΣΗ

Βιβλιογραφία: Παπαδάκης, εκδόσεις Σαββάλα
Άδεια Creative Commons
Αυτή η εργασία χορηγείται με άδεια Creative Commons Αναφορά Δημιουργού – Μη Εμπορική Χρήση – Παρόμοια Διανομή 4.0 Διεθνές .

Αφήστε μια απάντηση

Η ηλ. διεύθυνση σας δεν δημοσιεύεται. Τα υποχρεωτικά πεδία σημειώνονται με *

Δεν είμαι Robot *