ΜΟΝΟΤΟΝΙΑ ΣΥΝΑΡΤΗΣΕΩΝ ΠΟΛΛΑΠΛΟΥ ΤΥΠΟΥ ΘΕΜΑ 56

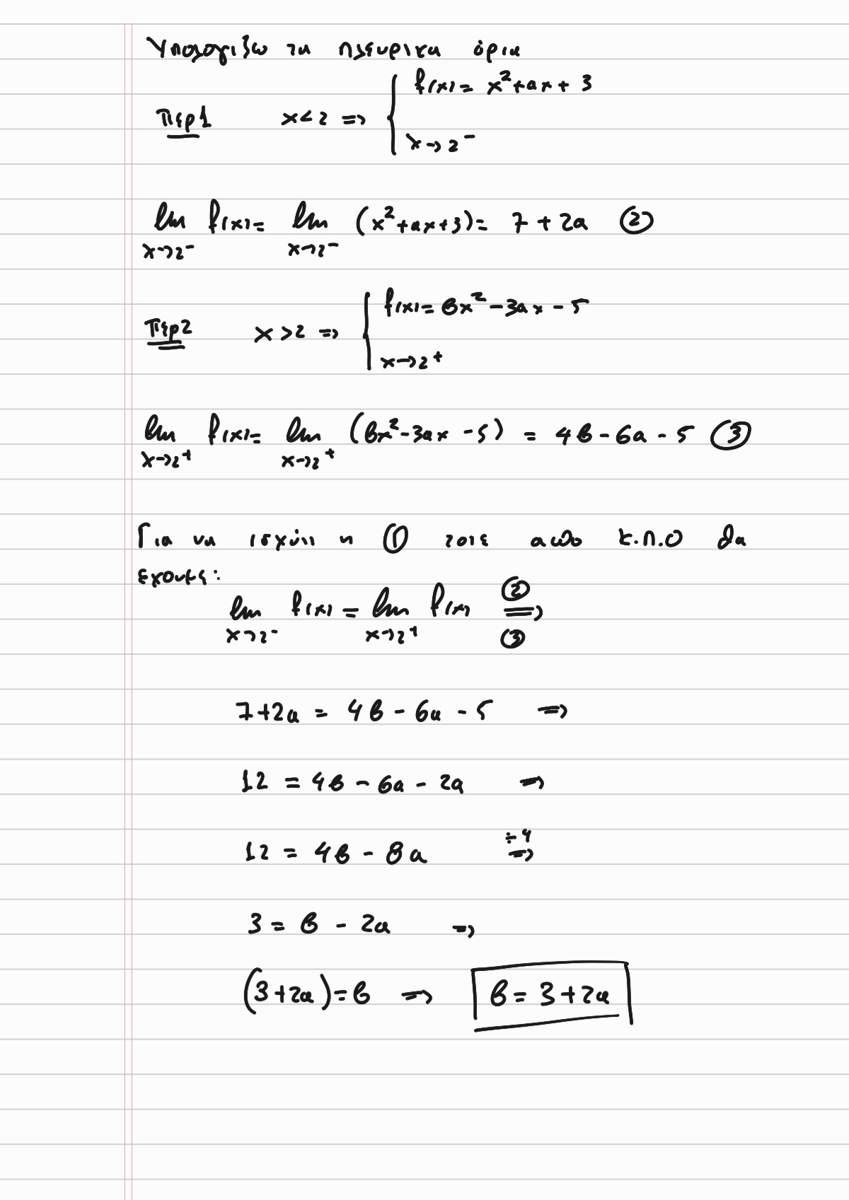
Λύση
Βιβλιογραφία: Παπαδάκης, εκδόσεις Σαββάλα

Αυτή η εργασία χορηγείται με άδεια Creative Commons Αναφορά Δημιουργού – Μη Εμπορική Χρήση – Παρόμοια Διανομή 4.0 Διεθνές .
ΜΟΝΟΤΟΝΙΑ ΣΥΝΑΡΤΗΣΕΩΝ ΠΟΛΛΑΠΛΟΥ ΤΥΠΟΥ ΘΕΜΑ 56

Λύση
Βιβλιογραφία: Παπαδάκης, εκδόσεις Σαββάλα

Αυτή η εργασία χορηγείται με άδεια Creative Commons Αναφορά Δημιουργού – Μη Εμπορική Χρήση – Παρόμοια Διανομή 4.0 Διεθνές .