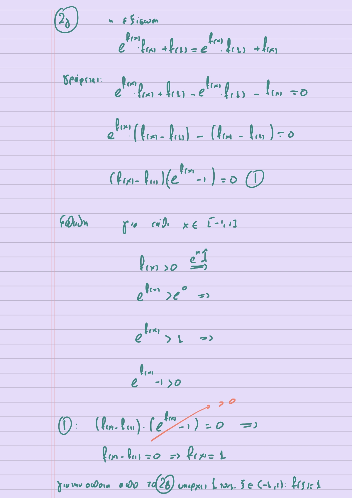
ΣΥΝΕΠΕΙΕΣ BOLZANO ΘΕΜΑ 10

ΛΥΣΗ
Βιβλιογραφία: Παπαδάκης, εκδόσεις Σαββάλα

Αυτή η εργασία χορηγείται με άδεια Creative Commons Αναφορά Δημιουργού – Μη Εμπορική Χρήση – Παρόμοια Διανομή 4.0 Διεθνές .
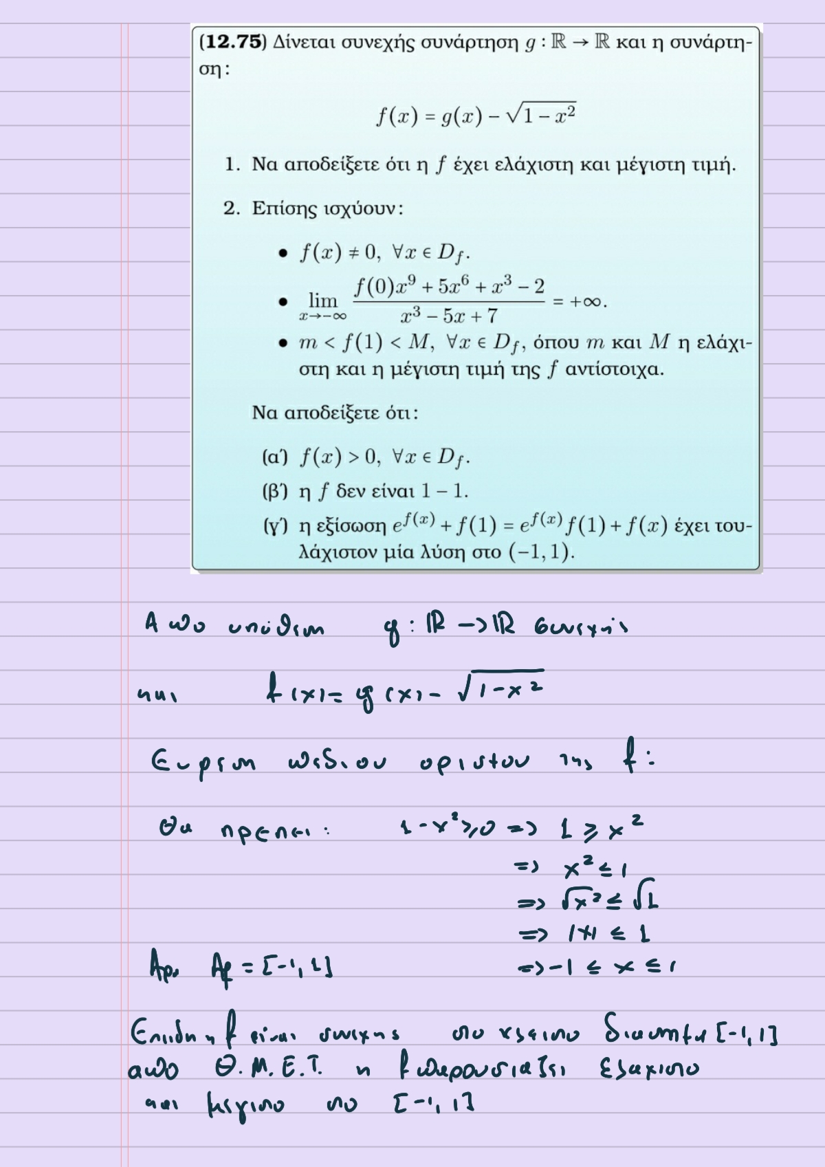
ΣΥΝΕΠΕΙΕΣ BOLZANO ΘΕΜΑ 10

ΛΥΣΗ
Βιβλιογραφία: Παπαδάκης, εκδόσεις Σαββάλα

Αυτή η εργασία χορηγείται με άδεια Creative Commons Αναφορά Δημιουργού – Μη Εμπορική Χρήση – Παρόμοια Διανομή 4.0 Διεθνές .