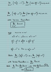
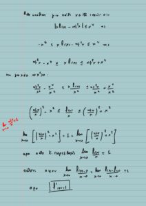
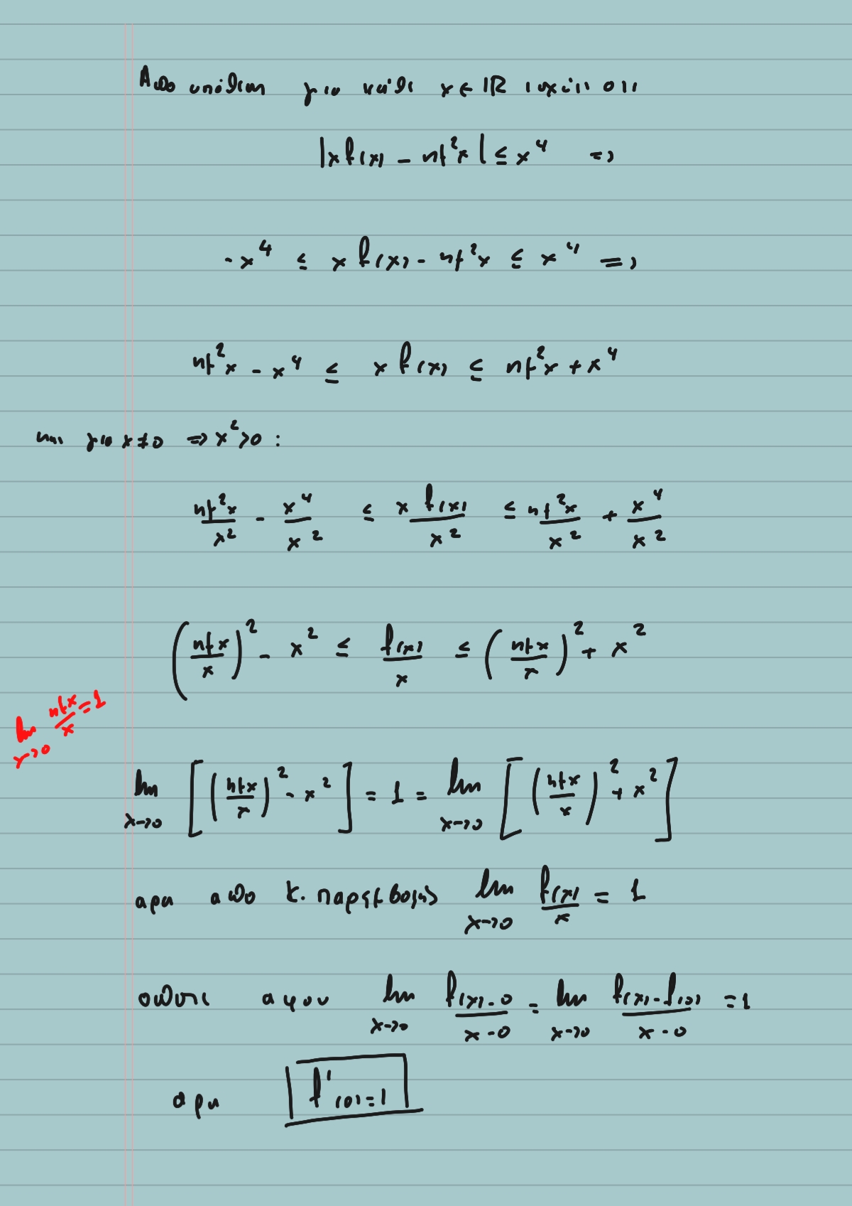
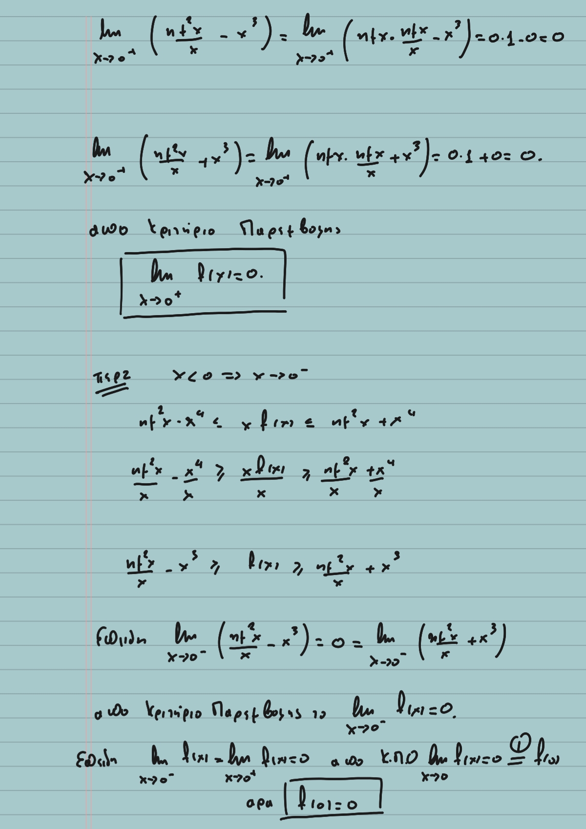
10.12 ΑΠΟΛΥΤΟ – ΚΡΙΤΗΡΙΟ ΠΑΡΕΜΒΟΛΗΣ

ΛΥΣΗ
Βιβλιογραφία
ΜΕΘΟΔΙΚΗ ΕΠΑΝΑΛΗΨΗ ΜΑΘΗΜΑΤΙΚΑ Γ ΛΥΚΕΙΟΥ Χ.ΣΤΕΡΓΙΟΥ Χ.ΝΑΚΗΣ ΕΚΔΟΣΕΙΣ ΣΑΒΒΑΛΑΣ

Αυτή η εργασία χορηγείται με άδεια Creative Commons Αναφορά Δημιουργού – Μη Εμπορική Χρήση – Παρόμοια Διανομή 4.0 Διεθνές .









