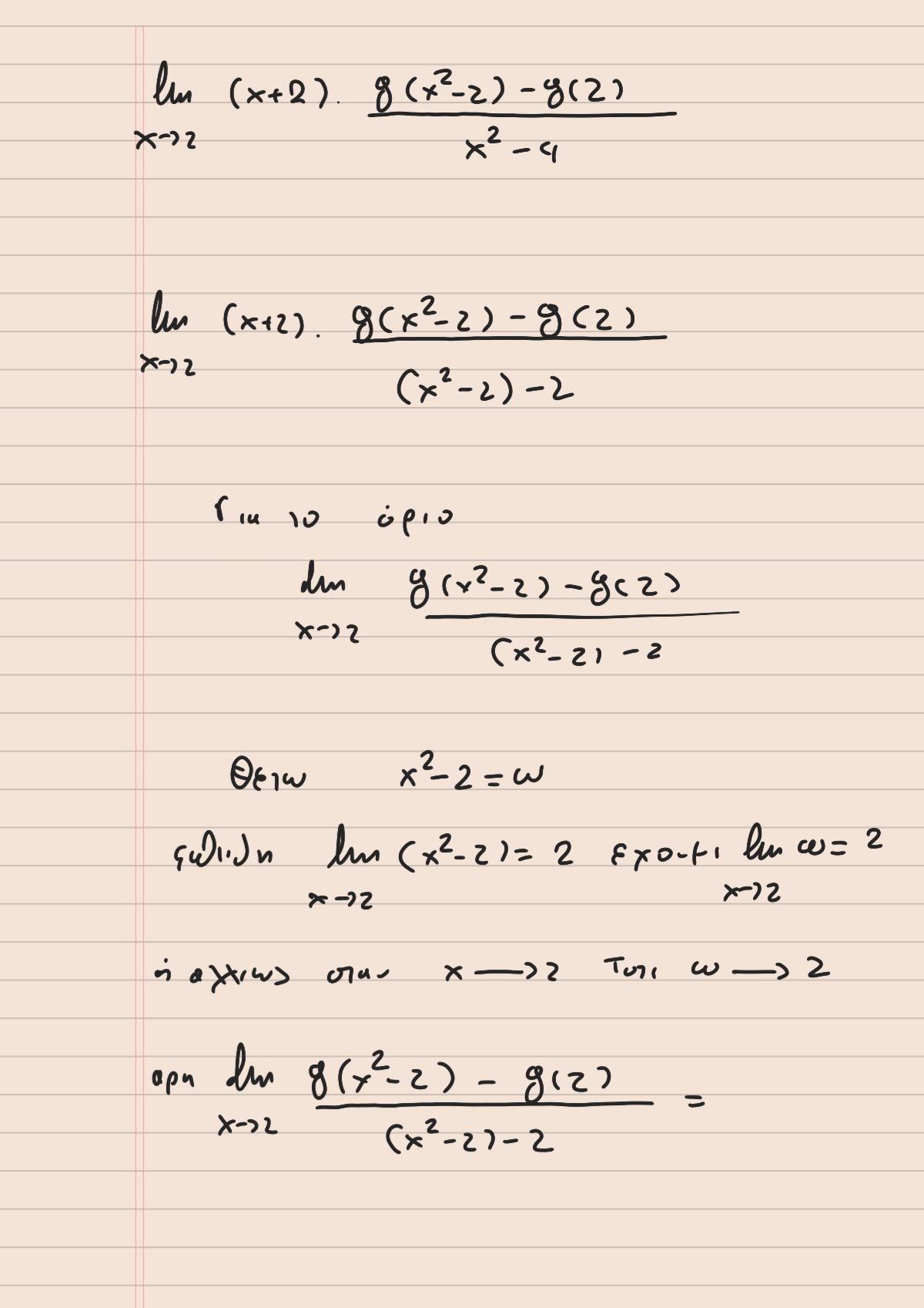
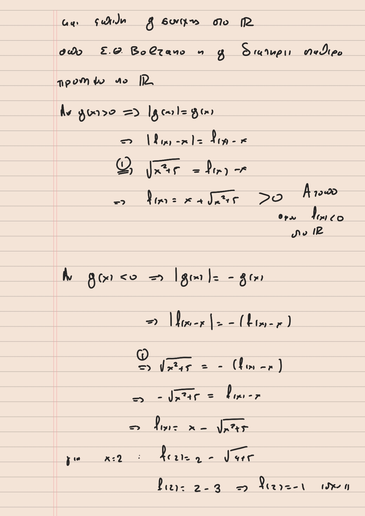
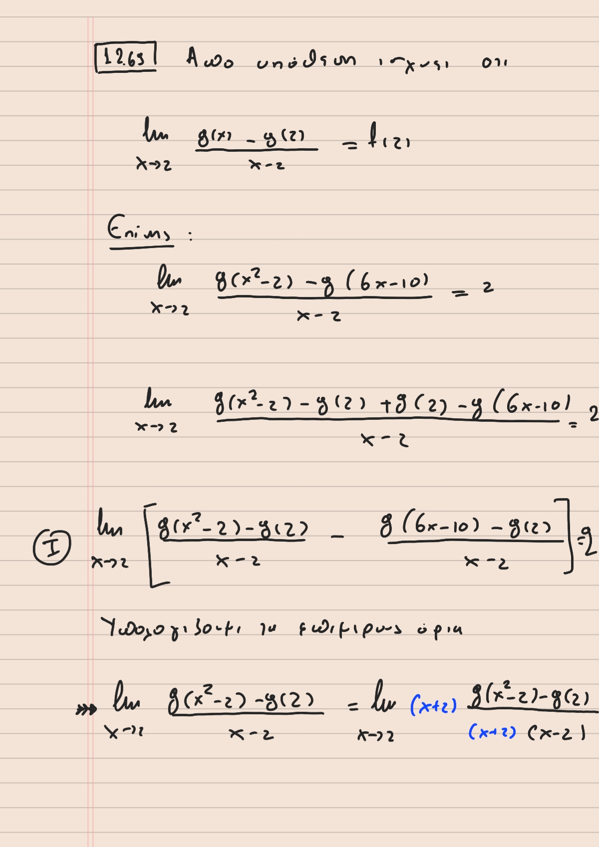
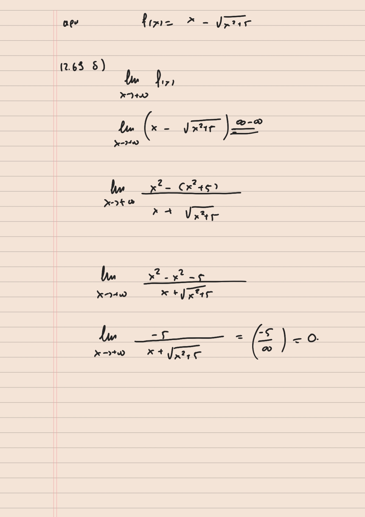
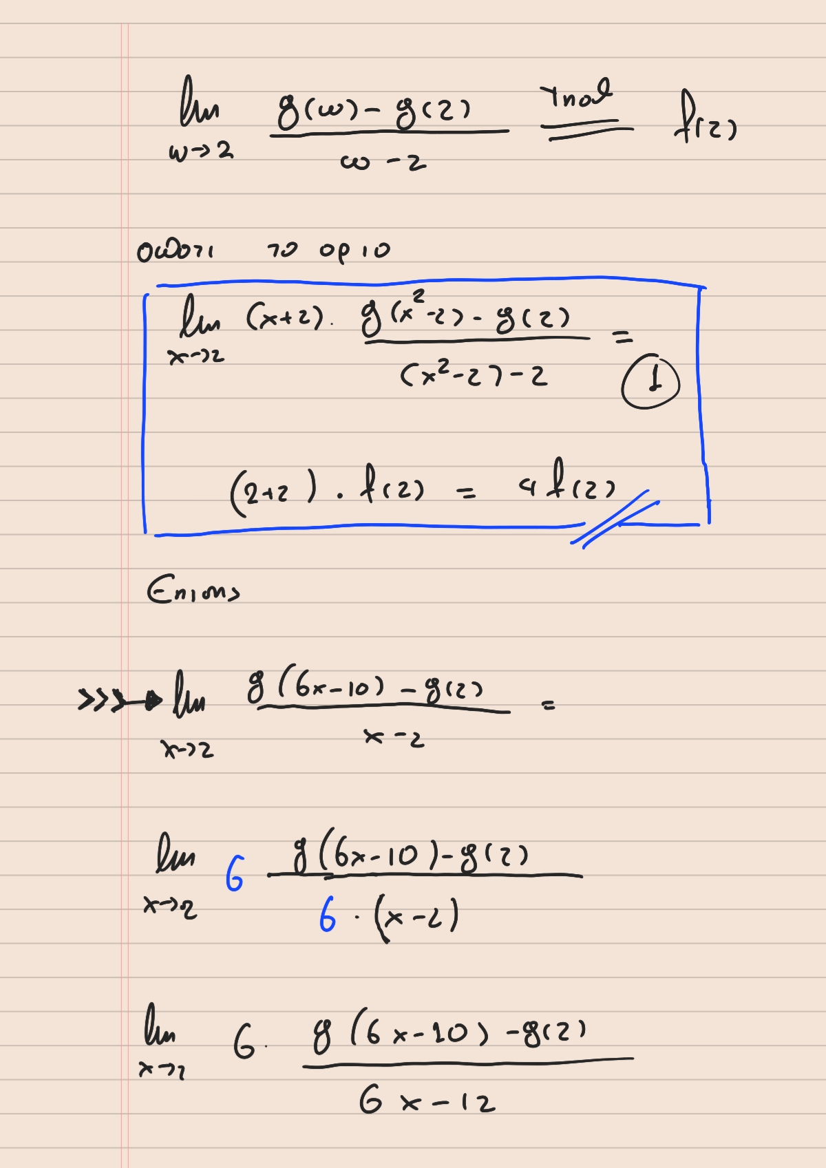
ΣΥΝΕΠΕΙΕΣ BOLZANO ΘΕΜΑ 4

ΛΥΣΗ
ΔΕΙΤΕ ΠΑΡΟΜΟΙΑ ΑΣΚΗΣΗ ΓΙΑ ΤΗΝ ΕΥΡΕΣΗ ΤΥΠΟΥ ΣΥΝΕΧΟΥΣ ΣΥΝΑΡΤΗΣΗΣ
ΜΕ ΤΗ ΜΕΘΟΔΟ ΤΗΣ ΣΥΜΠΛΗΡΩΣΗΣ ΤΕΤΡΑΓΩΝΟΥ ΚΑΙ ΤΗ ΧΡΗΣΗ ΤΩΝ ΣΥΝΕΠΕΙΩΝ
ΤΟΥ ΘΕΩΡΗΜΑΤΟΣ BOLZANO ΓΙΑ ΤΟΝ ΥΠΟΛΟΓΙΣΜΟ ΤΟΥ ΠΡΟΣΗΜΟΥ 10.51
Βιβλιογραφία: Παπαδάκης, εκδόσεις Σαββάλα

Αυτή η εργασία χορηγείται με άδεια Creative Commons Αναφορά Δημιουργού – Μη Εμπορική Χρήση – Παρόμοια Διανομή 4.0 Διεθνές .








