ΣΥΝΕΠΕΙΕΣ BOLZANO ΘΕΜΑ 5

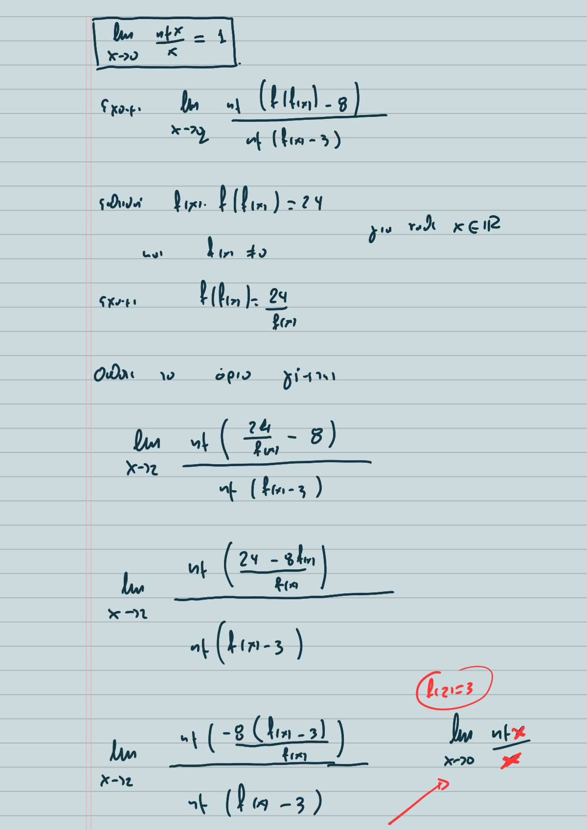
ΛΥΣΗ
Βιβλιογραφία: Παπαδάκης, εκδόσεις Σαββάλα

Αυτή η εργασία χορηγείται με άδεια Creative Commons Αναφορά Δημιουργού – Μη Εμπορική Χρήση – Παρόμοια Διανομή 4.0 Διεθνές .
ΣΥΝΕΠΕΙΕΣ BOLZANO ΘΕΜΑ 5

ΛΥΣΗ
Βιβλιογραφία: Παπαδάκης, εκδόσεις Σαββάλα

Αυτή η εργασία χορηγείται με άδεια Creative Commons Αναφορά Δημιουργού – Μη Εμπορική Χρήση – Παρόμοια Διανομή 4.0 Διεθνές .