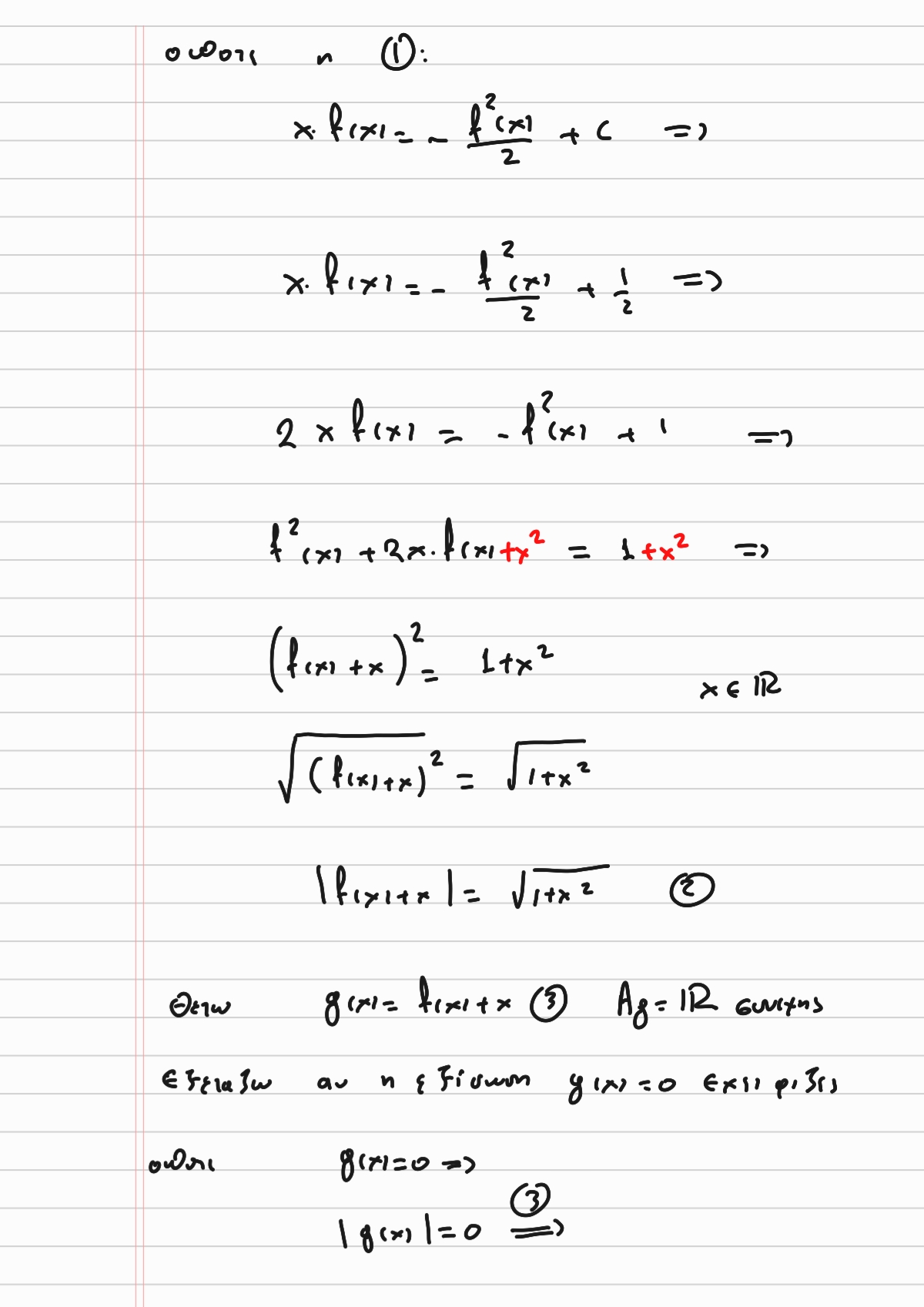
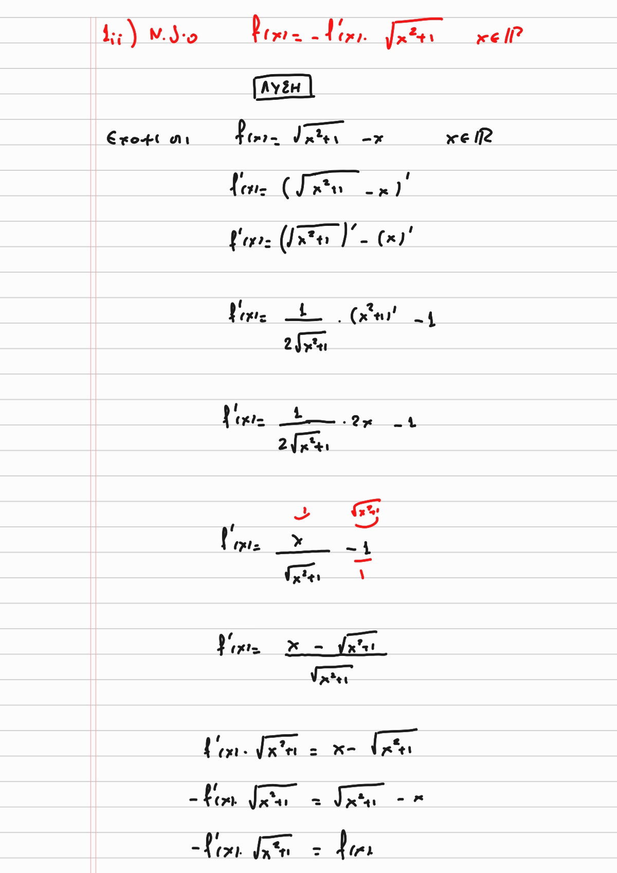
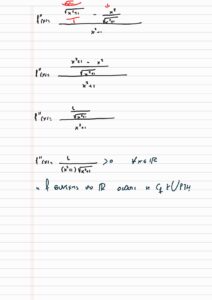
164 f(x) = -f'(x)(f(x) + x).

164 f(x) = -f'(x)(f(x) + x).

Rendered by QuickLaTeX.com

Λύση

Βιβλιογραφία:
Μπάρλας Αυτοέκδοση.

1025
Βιβλιογραφία:
Μπάρλας Αυτοέκδοση.

Άδεια Creative Commons
Αυτή η εργασία χορηγείται με άδεια Creative Commons Αναφορά Δημιουργού – Μη Εμπορική Χρήση – Παρόμοια Διανομή 4.0 Διεθνές .

Αφήστε μια απάντηση

Η ηλ. διεύθυνση σας δεν δημοσιεύεται. Τα υποχρεωτικά πεδία σημειώνονται με *

Δεν είμαι Robot *