64 ΕΥΡΕΣΗ ΠΑΡΑΜΕΤΡΟΥ – ΘΜΤ

64 ΕΥΡΕΣΗ ΠΑΡΑΜΕΤΡΟΥ – ΘΜΤ

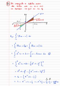
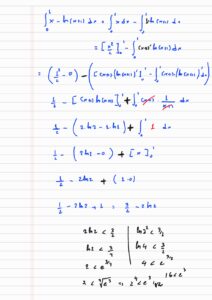
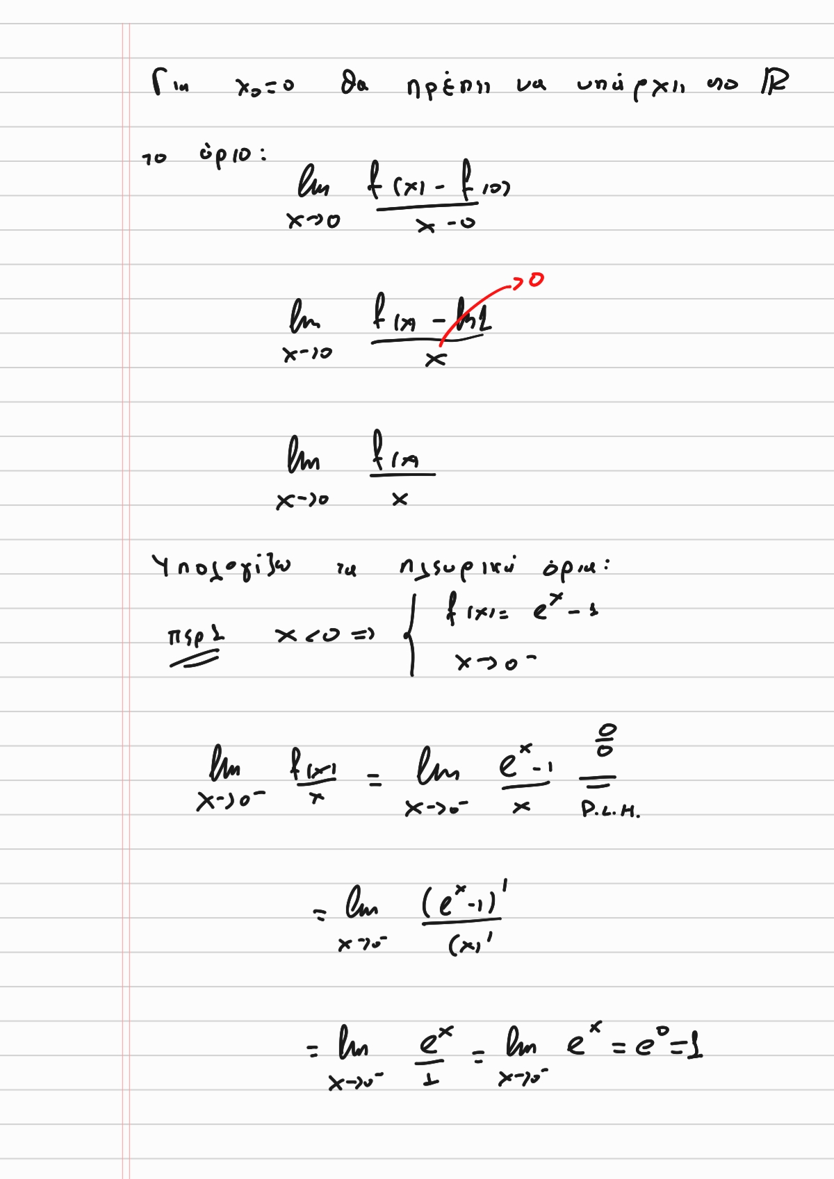
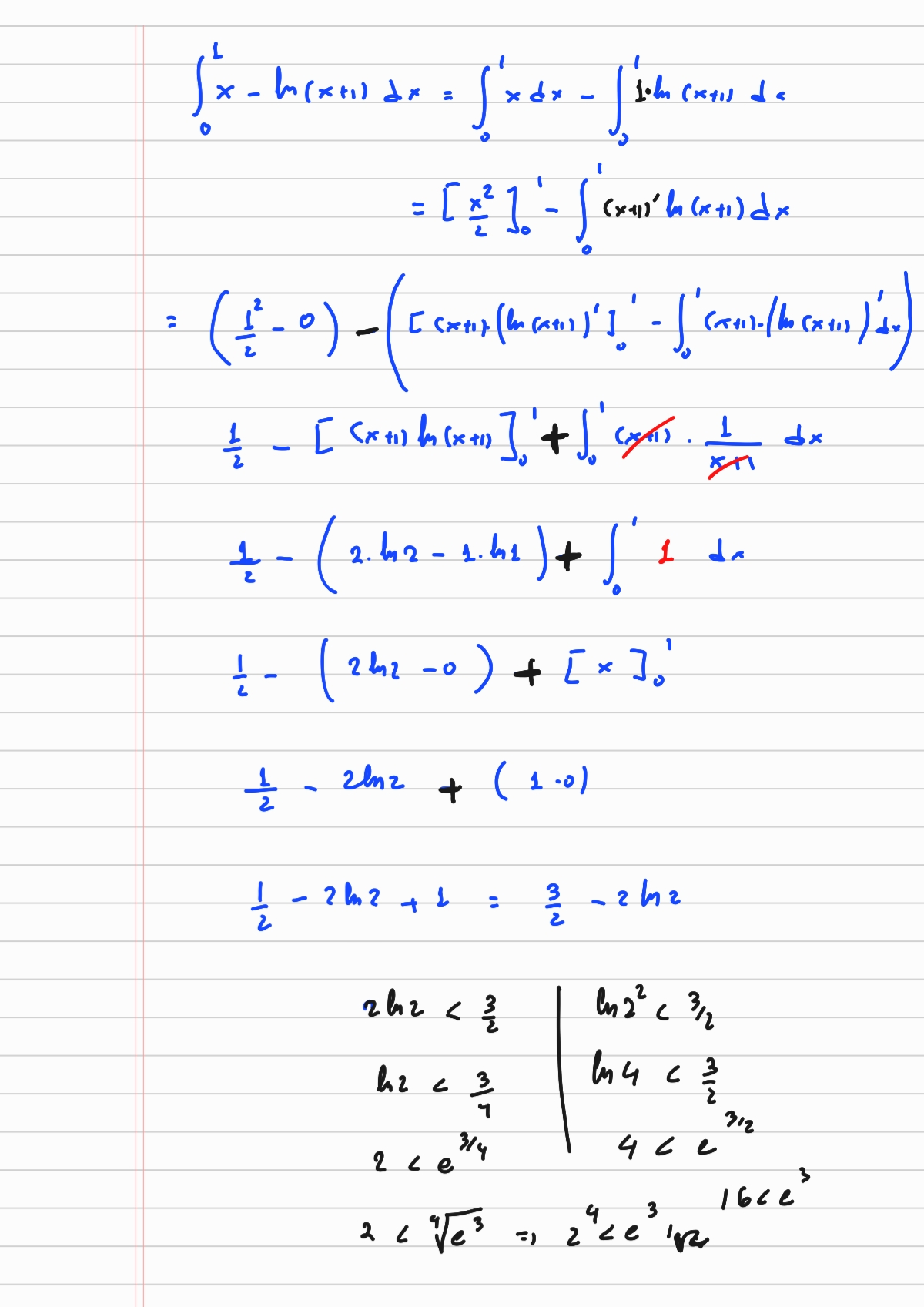
Rendered by QuickLaTeX.com

ΛΥΣΗ

Βιβλιογραφία:
Μπάρλας Αυτοέκδοση.

Άδεια Creative Commons
Αυτή η εργασία χορηγείται με άδεια Creative Commons Αναφορά Δημιουργού – Μη Εμπορική Χρήση – Παρόμοια Διανομή 4.0 Διεθνές .

Αφήστε μια απάντηση

Η ηλ. διεύθυνση σας δεν δημοσιεύεται. Τα υποχρεωτικά πεδία σημειώνονται με *

Δεν είμαι Robot *