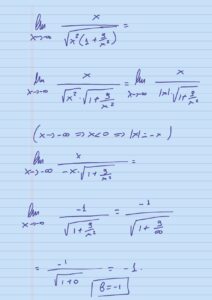
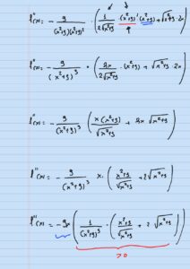
70 ΑΡΡΗΤΗ ΣΥΝΑΡΤΗΣΗ – ΑΣΥΜΠΤΩΤΕΣ

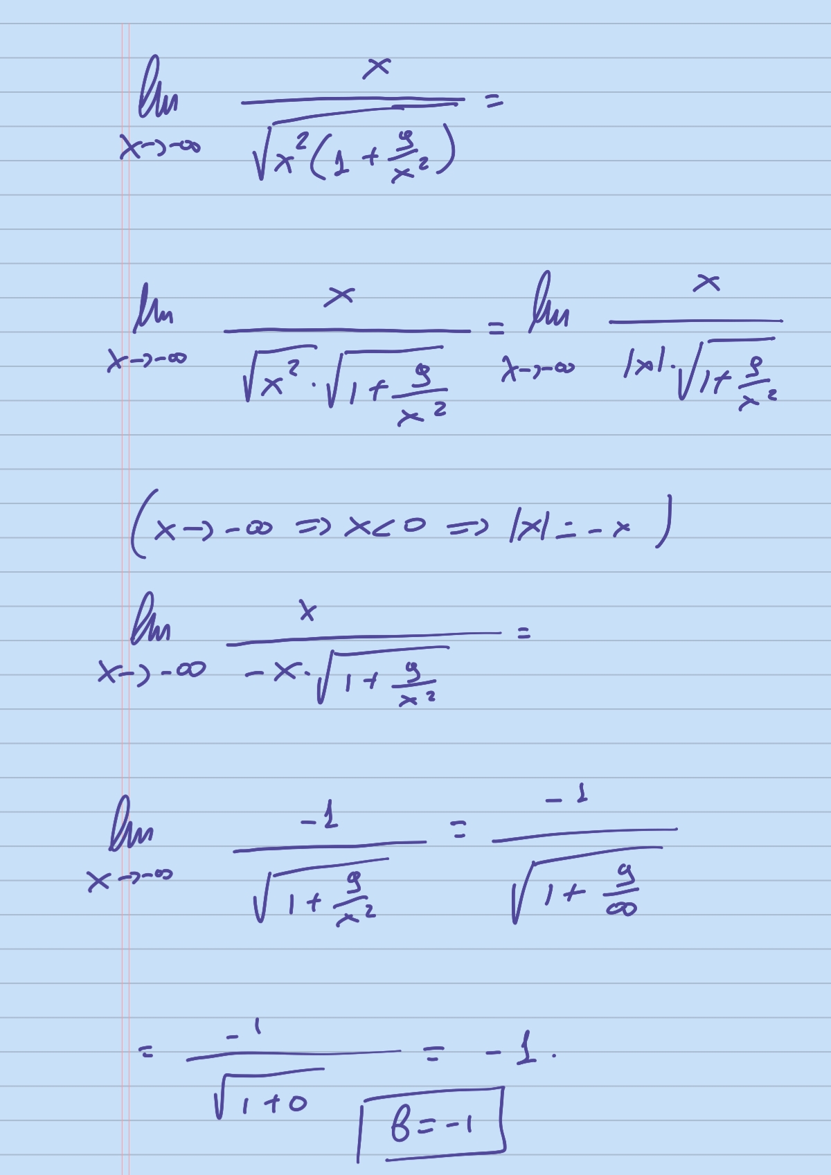
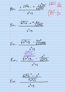
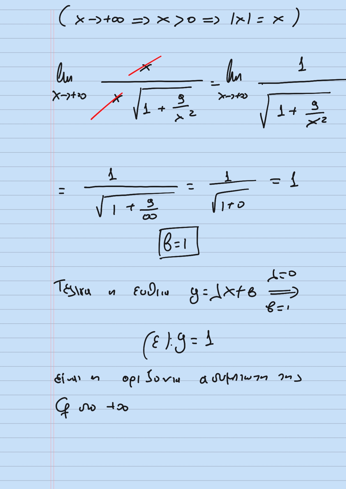
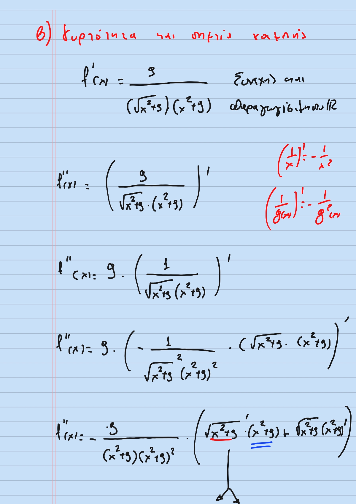
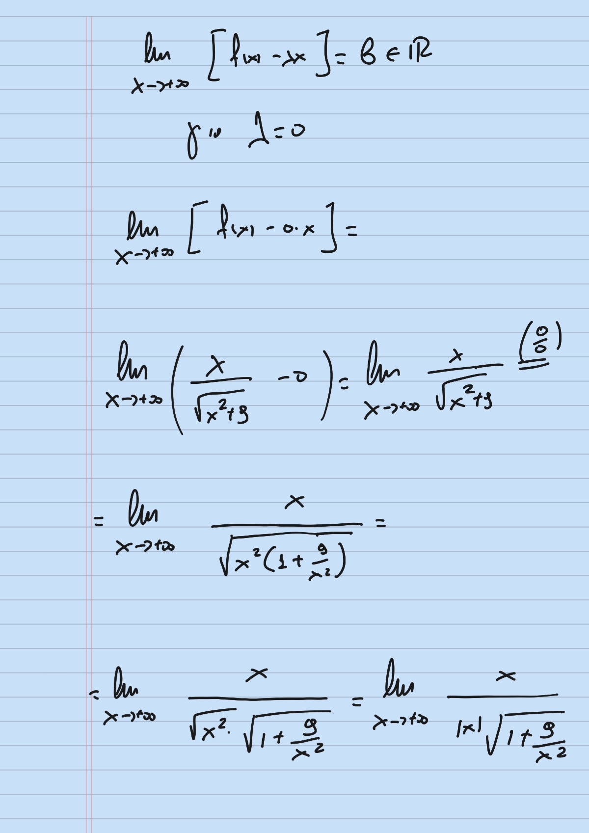
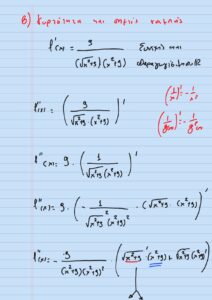
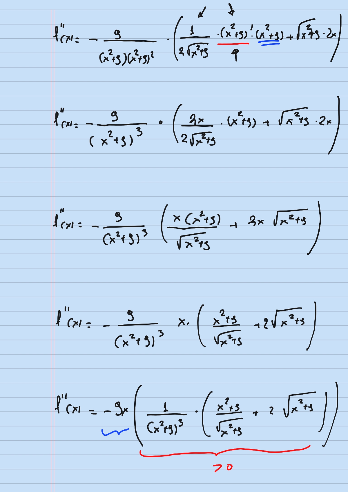
ΛΥΣΗ
Βιβλιογραφία:
Μπάρλας Αυτοέκδοση.

Αυτή η εργασία χορηγείται με άδεια Creative Commons Αναφορά Δημιουργού – Μη Εμπορική Χρήση – Παρόμοια Διανομή 4.0 Διεθνές .
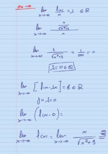
70 ΑΡΡΗΤΗ ΣΥΝΑΡΤΗΣΗ – ΑΣΥΜΠΤΩΤΕΣ

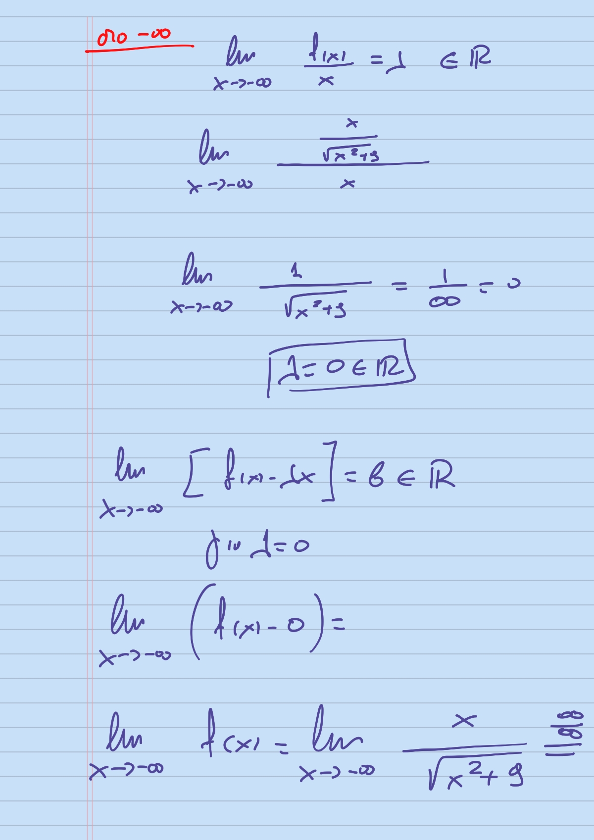
ΛΥΣΗ
Βιβλιογραφία:
Μπάρλας Αυτοέκδοση.

Αυτή η εργασία χορηγείται με άδεια Creative Commons Αναφορά Δημιουργού – Μη Εμπορική Χρήση – Παρόμοια Διανομή 4.0 Διεθνές .